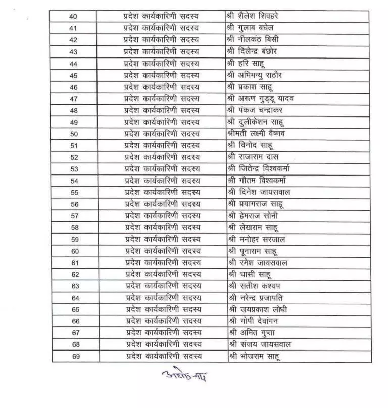
रायपुर: भारतीय जनता पार्टी पिछड़ा वर्ग मोर्चा, छत्तीसगढ़ प्रदेश ने संगठनात्मक विस्तार करते हुए प्रदेश स्तरीय पदाधिकारियों की घोषणा कर दी है। इस सूची में प्रदेश कार्यसमिति के सदस्य, जिलाध्यक्ष और संभाग प्रभारियों की नियुक्ति की गई है। भाजपा पिछड़ा वर्ग मोर्चा के प्रदेश अध्यक्ष अशोक साहू ने इस संबंध में आधिकारिक आदेश जारी किया है।
जारी आदेश के अनुसार, राजेन्द्र नायक को रायपुर संभाग का प्रभारी नियुक्त किया गया है, जबकि शांतनु साहू को बिलासपुर संभाग की जिम्मेदारी सौंपी गई है। वहीं राजेन्द्र जायसवाल को दुर्ग संभाग प्रभारी और तुलसी साहू को सह प्रभारी बनाया गया है। होरीलाल सिन्हा को सरगुजा संभाग प्रभारी तथा हेमराज सोनी को बस्तर संभाग का प्रभारी नियुक्त किया गया है।
घोषित सूची में उपाध्यक्ष, प्रदेश महामंत्री, प्रदेश मंत्री, सोशल मीडिया प्रभारी, प्रदेश कार्यालय प्रभारी सहित अन्य महत्वपूर्ण पदों पर भी नियुक्तियां की गई हैं। संगठन में महिलाओं को भी अहम जिम्मेदारियां सौंपी गई हैं, जिससे महिला सहभागिता को मजबूती मिलने की बात कही जा रही है।



